来源:科学网
彗星,这些由冰、尘埃和岩石组成的“太阳系信使”,在接近太阳时因温度升高而释放出挥发性物质,形成壮丽的彗尾。在科研人员眼中,被蒸发的物质有着不可替代的价值,其中可能蕴藏着太阳系形成和地球生命起源的密码。
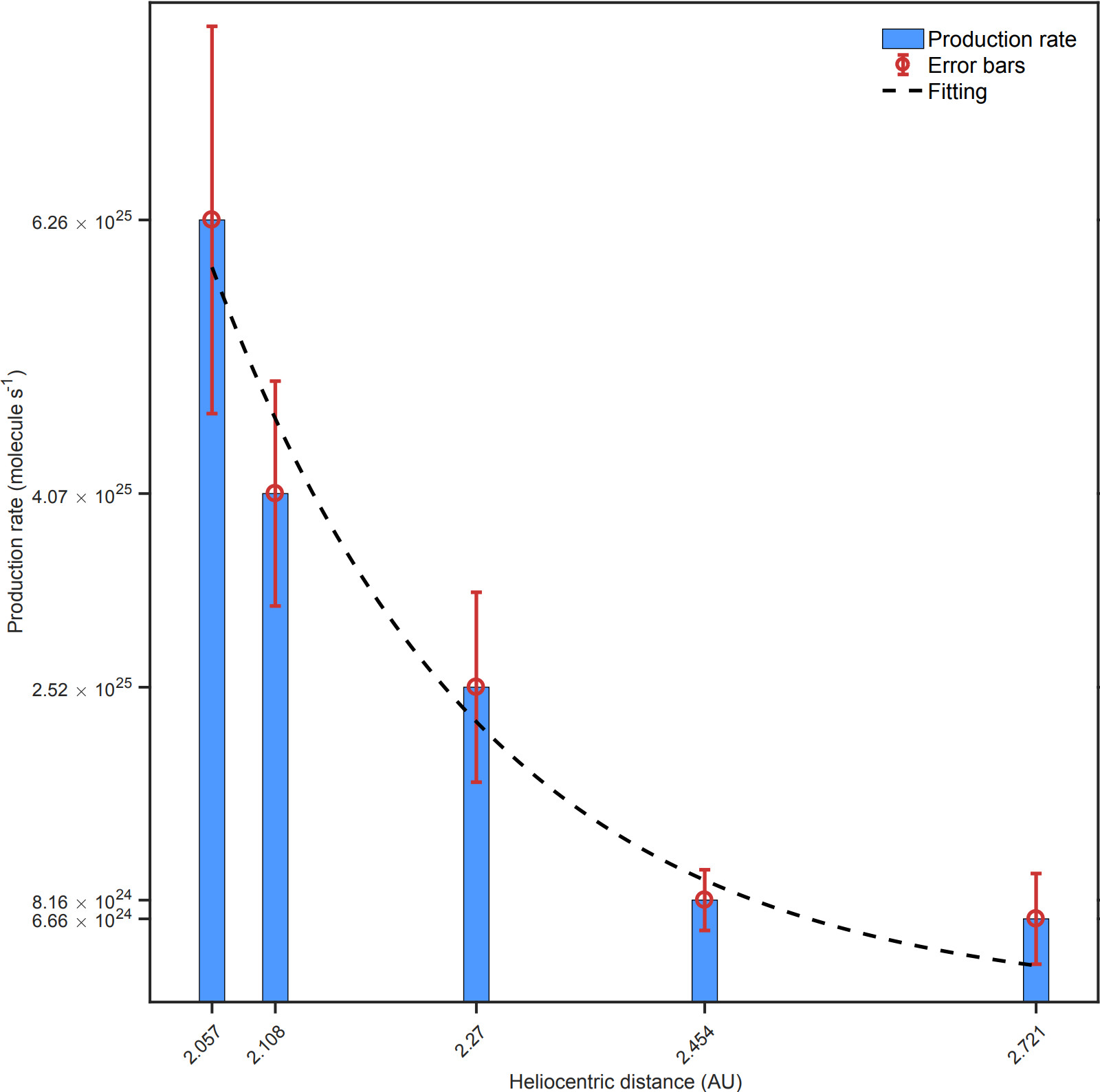
为了更好地研究这些物质,中国科学院新疆天文台行星科学研究组副研究员王震利用紫金山天文台13.7米毫米波望远镜和欧洲毫米波射电天文研究所30米望远镜,在3.4毫米波段对彗星C/2020T2进行了长达半年的追踪观测。观测结果揭示了其气体产率及膨胀速度随日心距离变化的动态规律,并探讨了非晶冰升华机制与日心距离之间的关系。相关研究成果发表于国际天文学期刊《皇家天文学会月刊》。
首次揭示氰化氢分子连续长时间动态特征
这次的研究对象——彗星C/2020T2属于罕见的“Manx”类彗星(因缺乏典型尘埃尾得名),源自太阳系边缘的奥尔特云。
在此次研究中,王震将88.6吉赫(GHz)氰化氢分子(HCN)J=1-0作为示踪物。据他介绍,HCN是彗核挥发活动的“晴雨表”,是追踪彗核挥发活动的关键指标。88.6GHz即3.4毫米波段是HCNJ=1-0旋转跃迁的特征频率,其谱线相对清晰且易于识别。“3.4毫米波段位于大气射电窗口的‘黄金频段’,地球大气对该波长辐射吸收较弱,使得地面望远镜能够高效捕获彗星释放的微弱信号。更重要的是,毫米波观测超高速度分辨率(达0.2 km/s量级),如同为彗发气体运动装上‘分子尺’,不仅能精确测定气体膨胀速度的演化规律,还能解析喷流结构、湍流特征等动力学细节,为揭示冰升华驱动机制和彗核活动异质性提供关键诊断工具。”王震告诉《中国科学报》。
不过,由于远日心距离下彗星活动较弱,HCN信号极其微弱,因此对观测灵敏度和时间分辨率要求极高,需要大型望远镜进行观测。研究人员利用中国与欧洲的两台大型望远镜,克服天气和观测窗口的限制,累积近500小时数据,首次系统揭示了HCN连续长时间跟踪观测的动态特征,填补了此前研究的空白。
追寻彗星的“呼吸”
“这次研究主要发现了HCN产率与日心距离负相关,进一步证实了挥发活动随彗星接近太阳显著增强,产率变化与日心距离的平方反比趋势一致,支持了太阳辐射加热驱动冰升华的机制。”王震介绍道。
有趣的是,研究人员将彗星冰升华过程比喻为彗星的“呼吸”。王震解释说:“彗核中的冰在太阳加热下升华,如同‘呼气’释放气体;而挥发物的成分和丰度,则是我们解读彗核成分,重建行星形成环境、追溯太阳系起源,以及探索生命前体的‘密码本’。”

彗核挥发分的时变演化。 受访者供图
不仅如此,此次研究通过谱线宽度分析,测得气体膨胀速度递增,表明近日点附近气体喷流更活跃,揭示了彗发膨胀速度动态变化。同时,三个超精细成分的“指纹”(F=0–1、2–1、1–1)均被清晰检测,谱线轮廓对称性反映彗发气体各向同性膨胀。此外,来自欧洲毫米波射电天文研究所30米望远镜的数据显示,主谱线(F=2–1)存在轻微分裂,可能暗示局部喷流不对称性。
持续探索
“这次研究结果为后续研究提供了关键数据链。”王震表示,“下一步,团队计划进一步分析彗星中其他诸如CH?OH、CO等有机分子,并联合光学、红外等多波段观测,构建彗星活动的完整化学与物理图谱。同时,将结合数值模拟,探讨挥发物触发机制与星际分子云的演化关联,为太阳系形成和生命起源研究提供更全面的数据支撑。”
豫公网安备 41040302000058号