来源:cnBeta.COM
一项新的研究表明,在过去 4 万年的人类进化过程中,代际间隔(generation interval)出现了波动,这和此前的认知假设不同。研究结果表明,人类的生活史可以因外部和文化因素而发生明显的变化。





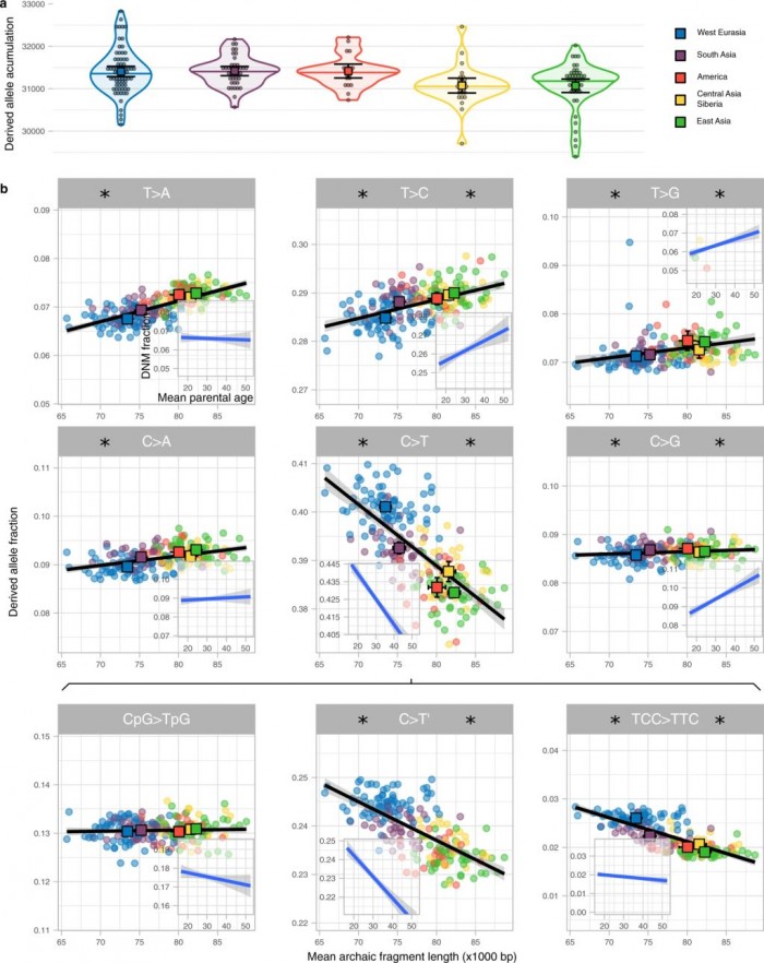
使用非洲基因组以外的尼安德特人片段作为分子钟/基因钟,来自丹麦奥胡斯大学和德国马克斯·普朗克进化人类学研究所的科研团队对欧亚和美洲人群的世代间隔进行了预估。
该项目负责人 Mikkel Heide Schierup 教授说:“这种使用基因组数据的新方法使我们能够检索到埋藏在过去的关于我们人类生活特征的信息,这补充了可以从考古学中了解到的我们的历史”。
研究小组在 2021 年 9 月 7 日的《Nature Communications》上报告说,在过去的 4 万年里,欧洲人口的人类平均繁殖年龄比欧亚大陆东部和美洲的人口要小。
该研究的第一作者,博士生 Moisès Coll Macià 表示:“我们估计不同种群之间的平均世代间隔相差 3 到 5 年。我们认为,这种差异可能是比较大的。例如,如果变化发生在过去的 1 万年里,那么在我们研究的4万年期间,我们可能稀释了信号”。
Coll Macià 表示:“年长的父母比年轻的父母向他们的孩子传递不同的突变。在这项研究中,我们发现从尼安德特人的遗产中估计有年长父母的人群也有暗示年长父母的突变。例如,我们看到东亚人口的父亲往往比母亲年龄大,而欧洲人口的父亲和母亲的年龄相近”。
那么,为什么历史上世界各地的世代长度不同呢? 作者推测,这可能是对环境变化的一种反应。气候的差异,以及人类社会的技术和文化发展,可能使生活条件更有利于或不利于繁殖,从而在决定哪个是拥有后代的最佳时间方面发挥了重要作用。
Schierup 教授建议说:“在未来,我们将能够利用快速出现的大量古代和现代人类基因组序列,绘制出人类生殖年龄变化的精细地图,我们可以将其与环境和文化条件联系起来”。
豫公网安备 41040302000058号